Saltar al contenido
Menú
Menú
INICIO
VIDEOS
Álgebra
Aritmética
Cálculo
Estadística
Física
Razonamiento
Trigonometría
Trucos
Aplicaciones
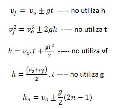
fórmulas caída libre física
fórmulas caída libre física
Deja un comentario
Cancelar la respuesta
Comentario
Nombre
Correo electrónico
Web
Δ
Cerrar
INICIO
VIDEOS
Álgebra
Aritmética
Cálculo
Estadística
Física
Razonamiento
Trigonometría
Trucos
Aplicaciones